Skip to content Skip to sidebar Skip to footer

First Order System Transfer Function

First Order Control System What Is It Rise Settling Time Formula Electrical4u

First Order Control System What Is It Rise Settling Time Formula Electrical4u

First order system transfer function. First Order Systems First order systems are systems whose dynamics are described by the transfer function where is the systems steady-state gain is the time constant First order systems are the most common behaviour encountered in practice. You can vary the magnitude of the input and the time constant τ. Gs 3 s 2 15 05s 1 a 0 2.

1 0 10 which has a single root 1. The time constant is related to how long a system takes to reach the new steady state. The time constant is related to how long a system takes to reach the new steady state.

1 is the same for all system variables. This model is linear as long as ft is not a function of x thus it can be transformed into a transfer function This type of transfer function is known as a first order lag with a steady state gain of 10. PD Control of Second Order System Process and controller transfer functions Ps b s2 a1s a2 Cs kp kds Closed loop transfer function from reference to output Gyrs PC 1 PC bkds kp s2 a1 bkds a2 bkp Closed loop system of second order controller has two parameters.

Time Response of First Order Systems Consider a general rst order transfer function strictly proper Gs Gs Rs b 0 s a 0 It is common also to write Gs as Gs K s 1 b 0 s a 0 ie a 0 1. Going from a transfer function to a single nth order differential equation is equally straightforward. A first order system would only have one state equation and a.

Using the transfer function generator simulate the first order system represented by. Where a b and c are arbitrary real numbers and either b or c but not both may be zero. The general first-order transfer function in the Laplace domain is.

This order gives the number of poles and - thus - determines the roll-off characteristics of the transfer function magnitude as well as the amount of phase shift for rising frequencies. Craig 8 Pade Approximation. This simulation shows the responses to a first-order transfer function.

The procedure is simply reversed. Step Response of a first order system.

Control System Time Response Of First Order System Javatpoint

Control System Time Response Of First Order System Javatpoint

First Order Transfer Functions In Process Control Wolfram Demonstrations Project

First Order Transfer Functions In Process Control Wolfram Demonstrations Project

First Order Transfer Function Exercises Pdf

First Order Transfer Function Exercises Pdf

First Order System

First Order System

First And Second Order Transfer Functions Wolfram Demonstrations Project

First And Second Order Transfer Functions Wolfram Demonstrations Project

Ppt First Order Transfer Function Powerpoint Presentation Free Download Id 2493923

Ppt First Order Transfer Function Powerpoint Presentation Free Download Id 2493923

Feedback Control Systems Fcs Lecture20 21 Time Domain

Feedback Control Systems Fcs Lecture20 21 Time Domain

Introduction To First Order Systems

Introduction To First Order Systems

Solved Consider A First Order System Whose Transfer Function Chegg Com

Solved Consider A First Order System Whose Transfer Function Chegg Com

Digital And Nonlinear Control Time Domain Analysis Introduction

Digital And Nonlinear Control Time Domain Analysis Introduction

Automatic Control 3 13 Practical Determination Of A Transfer Function Of A First Order System Youtube

Automatic Control 3 13 Practical Determination Of A Transfer Function Of A First Order System Youtube

Step Response Of A First Order System Left And Of A Second Order Download Scientific Diagram

Step Response Of A First Order System Left And Of A Second Order Download Scientific Diagram

Control System Time Response Of First Order System Javatpoint

Control System Time Response Of First Order System Javatpoint

Time Response Analysis Of Control System Presentation Powerpoint Slides

Time Response Analysis Of Control System Presentation Powerpoint Slides

First And Second Order Transfer Functions Wolfram Demonstrations Project

First And Second Order Transfer Functions Wolfram Demonstrations Project

A Parallel Arrangement Of Two First Order Systems Chegg Com

A Parallel Arrangement Of Two First Order Systems Chegg Com

First Order System Responses

First Order System Responses

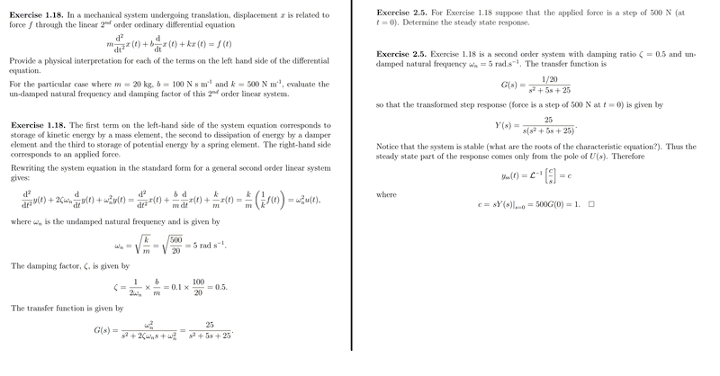
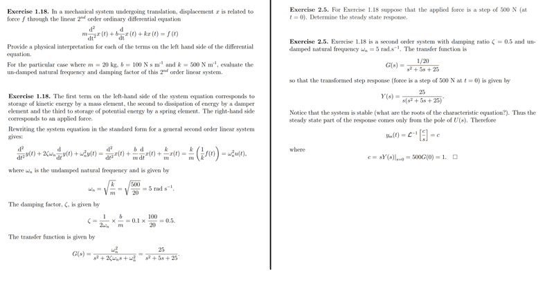
2

2

2

2

Process Control Pdt 255 Week 10 Second Order

Process Control Pdt 255 Week 10 Second Order

Time Response Analysis Of Control System Presentation Powerpoint Slides

Time Response Analysis Of Control System Presentation Powerpoint Slides

Time Response Analysis Ppt Download

Time Response Analysis Ppt Download

Time Response Of First Order System With Standard Test Inputs Electronics Coach

Time Response Of First Order System With Standard Test Inputs Electronics Coach

1

1

Response Of The First Order System

Response Of The First Order System

Unit Ii Time Response Analysis Ppt Download

Unit Ii Time Response Analysis Ppt Download

Introduction To First Order Systems

Introduction To First Order Systems

Control Tutorials For Matlab And Simulink Introduction System Analysis

Control Tutorials For Matlab And Simulink Introduction System Analysis

First Order Control System Electricalworkbook

First Order Control System Electricalworkbook

Solved For The First Order System With Transfer Function Chegg Com

Solved For The First Order System With Transfer Function Chegg Com

Engineer On A Disk

Engineer On A Disk

1st And 2nd Order Systems In S Domain

1st And 2nd Order Systems In S Domain

First Order Systems Control System Engineering

First Order Systems Control System Engineering

Response Of The First Order System

Response Of The First Order System

Pid To Generate Different Order Systems Electrical Engineering Stack Exchange

Pid To Generate Different Order Systems Electrical Engineering Stack Exchange

Step Response Of A First Order System With Derivative Input Contribution Matlab Inside The Ivory Tower

Step Response Of A First Order System With Derivative Input Contribution Matlab Inside The Ivory Tower

The Unit Step Response

The Unit Step Response

Control Systems Online Presentation

Control Systems Online Presentation

Proportional Control Of A First Order System

Proportional Control Of A First Order System

2

2

Solved The Transfer Function Of A First Order System Is Chegg Com

Solved The Transfer Function Of A First Order System Is Chegg Com

Ebook Dynamic System Modeling And Control

Ebook Dynamic System Modeling And Control

Modern Control Lec 03 Feedback Control Systems Performance And Ch

Modern Control Lec 03 Feedback Control Systems Performance And Ch

System Identification First Order Systems

System Identification First Order Systems

Lecture 5 6 Analysis In The Time Domain I First Order System North China Electric Power University Sun Hairong Ppt Download

Lecture 5 6 Analysis In The Time Domain I First Order System North China Electric Power University Sun Hairong Ppt Download

Transfer Function Of A Second Order System Physics Forums

Transfer Function Of A Second Order System Physics Forums

For A First Order System Having Transfer Function 1 1 St The Unit Impulse Response Is

For A First Order System Having Transfer Function 1 1 St The Unit Impulse Response Is

Lecture 20 Control Systems Response Of First Order System Input Is Unit Parabolic And Unit Impulse Youtube

Lecture 20 Control Systems Response Of First Order System Input Is Unit Parabolic And Unit Impulse Youtube

1

1

Kis called the DC-gain.

All closed loop poles can be chosen but no. The general form of transfer function of first order systems Response of first order systems to some common forcing functions predict and understand how it responds to an input Time behavior of a system is important. Craig 8 Pade Approximation. Therefore the transfer function for the angular velocity is Ωs V ss 30 s2 62s300. Is called the time constant. I used transfer function as an example the same can be said if you use a State-Space model. 1 is the same for all system variables. Going from a transfer function to a single nth order differential equation is equally straightforward. ω in rads or s-1 as an output can be approximately described by a first-order differential equation.


Therefore the transfer function for the angular velocity is Ωs V ss 30 s2 62s300. Consider a generic first order transfer function given by. 81 In the Laplace domain the transfer function is given by ωs Ps. To find the transfer function first write an equation for Xs and Ys and then take the inverse Laplace Transform. PD Control of Second Order System Process and controller transfer functions Ps b s2 a1s a2 Cs kp kds Closed loop transfer function from reference to output Gyrs PC 1 PC bkds kp s2 a1 bkds a2 bkp Closed loop system of second order controller has two parameters. The parameter has the dimension of V a k-1 s-2. This model is linear as long as ft is not a function of x thus it can be transformed into a transfer function This type of transfer function is known as a first order lag with a steady state gain of 10.

Post a Comment for "First Order System Transfer Function"